Bonjour a tous,
J'ai un petit problème avec un exercice en physique appliqué lié a l'électrotechnique avec les nombres complexes , Voici l'énoncé :
I – 2) utilisation des complexes.
On note encore avec une barre le complexe associé à la grandeur réelle : exemple u est le complexe associé à u(t).
Sachant que u(t) est sinusoïdale, on peut alors écrire u(t) = U.Ö2.cos(w.t + j) et u = [ U ; j ]
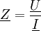
1) Rappeler la définition de l’impédance complexe pour un dipôle.
2) Pour la bobine L, que vaut l’impédance complexe notée Zl ?
3) A l’aide de la loi des mailles, écrire la relation entre u, e, L, R et w.
Sachant que : e = [ 2 ;0° ], que L = 0.3 H et que R = 1 kW, donner la valeur numérique de u sous la forme [ U ; j ]
Comparer aux valeurs mesurées de U et de j
Ecrire alors i en fonction de U, j, L et w.
En déduire les valeurs du module et de l'argument de i et comparer avec les valeurs mesurées du I-1) concernant i(t).
J'ai réussit a faire le petit 1 avec la formule : ZR = R
J'ai aussi fait le petit 2 avec la formule : ZL = JLW
Mais j'ai un gros soucis avec le 3, j'ai noté la formule suivante : e - ur - ul - u = 0
Et transformé cette formule en E - Ri - LW = 0 Soit 1000 x 0.15 + 1 x 314 x 0.15
Mais j'ai un gros doute et je n'arrive pas a faire la suite :s Merci de votre aide !
-----




