approximation d'un calcul de fraction avec puissance d'une puissance
Répondre à la discussion
Affichage des résultats 1 à 7 sur 7

approximation d'un calcul de fraction avec puissance d'une puissance



  1. #1
    pachacamac

    approximation d'un calcul de fraction avec puissance d'une puissance


    ------

    Bonjour,
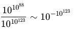
    J'ai un doute sur une approximation de fraction (effectuée par ChatGPT ) . Pourriez vous me dire si elle est correcte?
    Nom : Entropie.jpg
Affichages : 116
Taille : 2,4 Ko

    Merci

    -----

  2. #2
    gg0
    Animateur Mathématiques

    Re : approximation d'un calcul de fraction avec puissance d'une puissance

    Bonjour.

    La notion d'approximation est très floue, quand on ne quantifie pas l'erreur (au moins par un majorant). Par exemple
    a un sens
    alors que ne dit rien sur x, qui pourrait être ou -5000.

    La formule que tu cites n'est donc ni juste ni fausse, elle dit simplement que le dénominateur est immensément grand par rapport au numérateur, en fait parce que (10 123 - 10 88) vaut 10 123 à 10 100 près (10 100 est très petit par rapport à 10 123 et très grand par rapport à 10 ).

    Mais pourquoi utiliser ChatGPT si c'est pour douter de ce qu'il annonce ?

    Cordialement.

  3. #3
    pachacamac

    Re : approximation d'un calcul de fraction avec puissance d'une puissance

    Merci ggO;
    En fait c'était simple en calculant proprement.

    J'ai eu un doute (sur moi plutôt que sur ChatGPT ) car j'avais imaginé un raccourci erroné en faisant simplement le rapport des exposant 10^ 88/ 10^123 = 10^-35 et en mettant ce résultat comme l'exposant de la puissance de 10 recherché.


    note : Je me demande maintenant comment on obtient une incertitude de 10^100 avec ces nombres ...

    merci encore et bonne journée.

  4. #4
    gg0
    Animateur Mathématiques

    Re : approximation d'un calcul de fraction avec puissance d'une puissance

    C'est simple :
    et on approxime par 10^123.


    Quant à donner une incertitude sur l'approximation de ta pièce jointe, je te laisse calculer, j'ai la flemme d'écrire le calcul, qui a d'ailleurs de nombreuses réponses possibles ... mais par exemple majore l'erreur faite. C'est d'ailleurs un nombre grand par rapport au nombre approximé, ce qui montre qu'on ne cherche pas une grande précision.

    Je m'interroge cependant sur l'utilité de cette question, vu qu'on ne risque pas d'écrire les nombres en cause en écriture décimale : As-tu cherché le temps pour écrire en décimal, donc un 1 suivi de un million de milliards de milliards milliards de milliards milliards de milliards milliards de milliards milliards de milliards milliards de milliards de milliards de 0 ? Faire une approximation sur ton nombre ne donne aucune idée de sa taille !

  5. A voir en vidéo sur Futura
  6. #5
    pachacamac

    Re : approximation d'un calcul de fraction avec puissance d'une puissance

    Ce nombre serait (je cite sans vraiment comprendre ) le nombre de micros états gravitationnels possibles dans l'espace des phases correspondant à l'univers primordial d'après Penrose revue par ChatGPT.

    "As-tu cherché le temps pour écrire 10^10^123 en décimal? "

    Non, mais je me rappelle que dans ma jeunesse j'avais calculé le nombre de seconde pour une vie de 100ans. De mémoire cela faisait pas beaucoup de milliards

  7. #6
    gg0
    Animateur Mathématiques

    Re : approximation d'un calcul de fraction avec puissance d'une puissance

    Plutôt que ChatGPT, il faut lire Penrose. Et penser par soi-même ... Le chat ne fait que reprendre des suites de mots, et si toi tu "cite(s) sans vraiment comprendre", lui cite sans penser, quitte même à mélanger les auteurs.

  8. #7
    pachacamac

    Re : approximation d'un calcul de fraction avec puissance d'une puissance

    Le problème c'est que j'ai lu le livre de Penrose "les cycles du temps" ( et aussi celui de Rovelli "L'ordre du temps" ) mais dans le long passage clef "l'inexorable accroissement de l'entropie dans le futur" j'ai pas tout compris loin de là et c'est un euphémisme". Donc comme il est plus facile de poser des questions à ChatGPT qu'à Penrose c'est ce que je fais

    note 1 : aussi j'ai regardé ses notes annexes en fin de livre où il développe pour les experts les mathématiques et la physique qu'il utilise, le niveau d'abstraction qu'il utilise me donne le tournis.

    note 2 : je suis en train de préparer un message pour le forum :discussions libres en astrophysique où je vais tenter de résumer ce que j'ai compris et pas compris de l'entropie gravitationnelle au début de l'univers..

Discussions similaires

  1. fraction et puissance négative
    Par invite772ed8b1 dans le forum Mathématiques du collège et du lycée
    Réponses: 7
    Dernier message: 24/04/2017, 21h55
  2. Calcul de fraction avec puissance [3ème]
    Par invite8d52431f dans le forum Mathématiques du collège et du lycée
    Réponses: 13
    Dernier message: 28/09/2015, 19h06
  3. puissance et fraction
    Par invited661f5f2 dans le forum Mathématiques du collège et du lycée
    Réponses: 4
    Dernier message: 15/12/2010, 21h42
  4. help dm calcul avec puissance
    Par invite2d201af9 dans le forum Mathématiques du collège et du lycée
    Réponses: 4
    Dernier message: 09/09/2009, 19h01
  5. Fraction de puissance
    Par invite6643f045 dans le forum Mathématiques du supérieur
    Réponses: 2
    Dernier message: 05/11/2008, 09h36