Bonjour,
L'examen de math approche et je voudrais connaître la réponse à deux questions qui me semblent particulièrement difficiles :
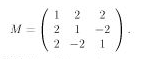
1) Soit la matrice réelle
http://forums.futura-sciences.com/at...1&d=1180810747
Déterminez une matrice orthogonale O telle que O-1MO est diagonale, ou expliquez pourquoi une telle matrice O n'existe pas.
2) Si g est un élément d'ordre m (fini ou infini) d'un groupe G, *, e, que vaut l'ordre de l'inverse de g : g-1?
Merci beaucoup d'avance pour votre aide,
soel
-----




