Bonjour,
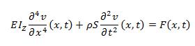
je dois donner une solution analytique de l'équation homogène et particulière de l'équation aux derivées partielles suivante (représentant la flexion sur une poutre appuyée aux deux extrémités dans le cas où l'hypothese de Bernoulli est satisfaite):
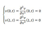
dont les conditions aux limites sont :
et F(x,t) représentant l'action des efforts extérieurs, et dont la forme est :
avec q0 le poids de la poutre par unité de longueur, q1 d'autres actions sur la poutre et gk encore d'autres actions (gk = f*cos(thetak)).
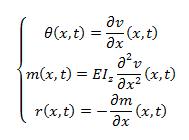
De plus on donne :
avec :
theta : angle de déformation
v : flèche de la déformée
m : moment de flexion
r : effort tranchant interne
Iz : inertie de la poutre
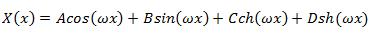
J'ai essayé la méthode de séparation de variable, mais je trouve X(x) = 0... soit on ne peut pas l'appliquer ici et je ne vois pas d'autre méthode, soit mon calcul est mauvais, mais je ne vois pas où !
Je vous montre ce que je trouve pour X(x), sachant qu'avec les condistions aux limites, je trouve les 4 constantes nulles.
Voilà, je vous remercie d'avance pour votre aide !
-----


