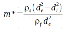
Bonjour, je travaille sur un problème de vibration induite par un écoulement sur un solide. L'un des paramètres est la mass ratio définit comme "defined as the ratio of the total oscillating mass to the displaced fluid mass ) ce que j'interprète comme le ratio entre la masse de mon solide et la masse de liquide contenu dans le volume de liquide définit par les positions extrêmes du solide oscillant.
Qu'en pensez vous?
-----


