Bonjour à tous, étant nouvelle je ne sais pas si mon post est bien répertorié ect donc si problème il y a, je m'en excuse. J'ai un dm à faire pour demain et à vrai dire, je suis un peu perdue. Je suis bonne dans toute les matières, sauf une, les maths. Ne me parlez pas de nombres, de vecteurs ou de fonctions je suis paumée (même si ça parait facile, pas pour moi). Je sais que s'est grave en seconde de ne rien comprendre aux ensembles de nombres, mais on peut pas exceller partout hein. C'est pourquoi je fais appel à votre aide pour m'aider à résoudre et surtout à comprendre mes exercices.
Exercice I:
1) Donner la définition d'un nombre relatif, et dire si ces nombres sont des nombres relatifs: -1/7 (en fractions désolé je ne sais pas faire le trait de fraction vers le bas...) ; -3 ;+ 3 ;
6+3
2) Donner la définition d'un nombre rationel, et dire si ces nombres sont des nombres rationels: -5 ;16+9 ; 4/7 (fraction)
3) Donner l'ensemble des nombres dans l'ordre croissant
4) Indiquer a quel ensemble appartiennent A et B (calculer et trouver un résultat)
A=B=
5) Rendre rationel: C=
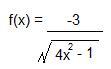
Exercice II (je ne comprend, rien)
Donner l'enchainement des fonctions pour définir la fonction f
_____________________________
Merci à vous si vous arrivez à m'aider, bonne fin d'après midi!
-----



+ 3 ;
6+3
B= 




