Série
Répondre à la discussion
Affichage des résultats 1 à 3 sur 3

Série



  1. #1
    inviteaaed653d

    Série


    ------

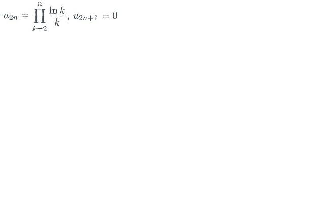
    Bonjour,
    Pouvez-vous m'indiquer comment trouver la nature de la série définie par :http://forums.futura-sciences.com/at...1&d=1226342394

    -----
    Images attachées Images attachées  

  2. #2
    invite57a1e779

    Re : Série

    Commence par étudier la série de terme général à l'aide de la règle de d'Alembert.

  3. #3
    inviteaaed653d

    Re : Série

    Ok merci beaucoup

Discussions similaires

  1. série
    Par invite8b973a49 dans le forum Mathématiques du supérieur
    Réponses: 4
    Dernier message: 08/08/2008, 07h04
  2. Série 1/n^2
    Par Bleyblue dans le forum Mathématiques du supérieur
    Réponses: 11
    Dernier message: 03/08/2008, 23h43
  3. série et DL
    Par inviteb71155d9 dans le forum Mathématiques du supérieur
    Réponses: 1
    Dernier message: 11/11/2007, 20h37
  4. Série convergente -> série abst convergente
    Par invite1237a629 dans le forum Mathématiques du supérieur
    Réponses: 10
    Dernier message: 30/09/2007, 19h46
  5. cette solution de serie/parallele/serie fonctionne-t-elle
    Par invitec35bc9ea dans le forum Électronique
    Réponses: 17
    Dernier message: 19/08/2005, 15h29