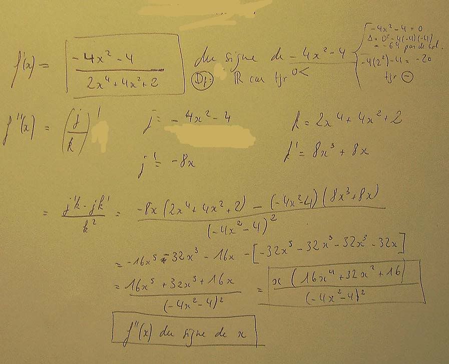
bonjour à tous, j'ai commencé cette étude de la fonction f(x) le problème c'est qu'à la fin je n'obtiens pas la même chose que ce que me donne ma calculatrice graphique.
il ne s'agit pas de résoudre mon éxo mais de jetter un coup d'oeil pour voir où se trouve ma faute (dans mes dérivées) et de me la signaler pour que je puisse aller de l'avant, je l'ai refais 3 fois et toujours le même résultat !
merci d'avance !
http://img.photobucket.com/albums/v8...r1/maths1a.jpg
http://img.photobucket.com/albums/v8...r1/maths2a.jpg
-----




, mais tu peux simplifier un peu plus : on tombe sur